고등학교 1학기 중간고사 기출문제

안녕하세요. 뒤틀린 엄마입니다. 남자 1의 고등학교 첫 중간고사는 4월 25일입니다. 많이 설레시죠? 아들은 공부하지만 엄마인 내가 더 긴장된다. 3점 받으면 얼마나 더 떨릴까 걱정돼서 오늘은 중간고사 문제 확인 방법내가 알려 주마.!! 집중하세요!!


고등학교 1학기 중간고사 기출문제
고등학교 1학기 중간고사 기출문제

중간고사

연간 시험 일정은 이미 중학교와 매우 다릅니다. 거의 매달 평가가 있고, 모의고사가 끝나면 학교에서 성능 평가 정신없는 고등학교 생활을 하고 있습니다.

성능 평가잠시 언급하자면,

  • 한국인경력 독서 검토를 작성해야합니다. 미리 아들에게 관련 서적을 검색하게 해서 구입하게 했습니다.
  • 수학공부와 관련된 독서 보고서를 작성해야 합니다. 다행히 책이 있어서 패스.
  • 영어롤모델을 발표하는 것입니다. 원고를 쓰고 발표를 하는데 여기서 점수 획득 수준에 차이가 있는 것 같다. 발표할 때 원고를 잊어버리더라도 그냥 뱉어내야 한다. 2분 안에 발표하는 것을 잊지 마세요.
  • 과학수업이 진행되는 동안 물리 슬립 테스트로 대체되었습니다.

수행평가 평가 항목에서 종이와 연필로 60% 수행 40%차지하기 때문에 점수를 깎아서는 안되므로 가능하면 1급을 준비해야 합니다.. 그러기 위해서는 수업에 집중하고 꾸준한 학습량을 섭취해야 합니다.

남자 1이 속한 학교의 시험기간 그리고 시험 일정 안돼.

첫번째 교시 2기 3기
4월 26일(화) 한국인
4월 27일(수) 통합 과학
4월 28일(목) 영어
4월 29일(금) 수학

고등학교 1차 중간고사는 4과목이다. 시험일에 한 번만 봐서 지금은 크게 긴장하지는 않지만 철저히 준비해야 합니다. 4일 4과목 일정이 정말 알차요.

genealogy.com 사용

시험문제와 공통과목이 일부 중복되긴 하지만 여전히 학교별로 출제유형에 차이가 있고 공통과목이기 때문에 시험범위가 조금씩 다릅니다. 그래서 학교별 문제지를 사용하기 위해서는, genealogy.com 사용이렇게 하는 것이 좋습니다. 중학교 때부터 이 사이트를 이용하지 않은 학부모가 없을 정도로 학생과 학부모들 사이에서 인기가 높다.

1. 무료 회원가입


고등학교 1학기 중간고사 기출문제
고등학교 1학기 중간고사 기출문제

2. 학교별 무료 열람실 – 과거 문제는 AI 기반으로 재구성하여 무료로 제공하지만, 학교별로 제공되지 않을 수 있으며, 공통 문제로 출력하여 풀어볼 가치가 있습니다. 이것은 무료 독서입니다.

삼. 학교별 계보 ★ – 학교별 실제 문제읽을 수 있습니다. 말 그대로 읽기입니다. 단, 모든 데이터를 연도별로 제공하는 것은 아니므로 일부만 읽고 쓸 수 있습니다. 꼰대마미가 캡쳐해서 풀었던 시험지의 흔적이 있기에 이를 수정하여 남1에게 제공하여 풀게 한다. 핸드폰 캡쳐가 최고입니다.


고등학교 1학기 중간고사 기출문제
고등학교 1학기 중간고사 기출문제

예를 들어, 시험지 형태로 무료로 읽을 수 있는 시험지는 학교 시험 문제입니다.


고등학교 1학기 중간고사 기출문제


고등학교 1학기 중간고사 기출문제
고등학교 1학기 중간고사 기출문제

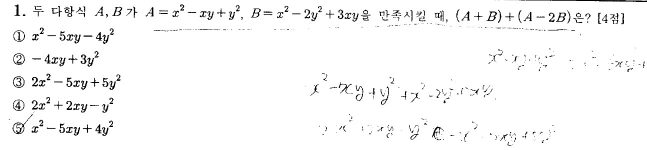
일부 문제는 명확하지 않습니다. 풀이한 흔적이 있고, 답변이 거의 제공되지 않기 때문에 유형을 파악하는 차원에서 genealogy.com의 과거 질문을 활용하면 좋을 것 같습니다.

학력평가 활용

중간고사는 나중에 6월 1일 국가학력평가의 범위이기도 하므로 6월 학력평가를 미리 풀어두는 것이 좋습니다. 2022년 6월 학력평가서는 아래에서 다운받으실 수 있습니다. 제발 수학같은 경우에도 학교마다 시험 범위가 다르기 때문에 9월과 11월 학업 평가에 대한 수학을 첨부합니다.

남자만 1 우리 아들은 시험 범위가 좀 틀려서 전년도 수학을 다 출력하고 있습니다. 모두 확인하시고 활용하셔서 좋은 결과 얻으시길 바랍니다.

데이터를 확인하기 전에 다운로드해야 하는 프로그램과 A4 인쇄 방법을 연결해 드립니다. 필요한 경우 다운로드하십시오.


고등학교 1학기 중간고사 기출문제
고등학교 1학기 중간고사 기출문제

고등학교 1학기 중간고사 기출문제
고등학교 1학기 중간고사 기출문제

고등학교 1학기 중간고사 기출문제
고등학교 1학기 중간고사 기출문제

2022년 고등학교 6월 1일 학업능력시험 문제/답안지

6월 22일. 계란
11.43MB


2022 고등학교 9월 1일 학업 평가 수학 문제 / 답안지

2022년 9월 전국고등학생회 제1차 전국학력시험 문항(수학).pdf
0.66MB


2022년 9월 고1전국수학능력시험 정답 및 해설(수학).pdf
0.96MB


2022년 고등학교 11월 1일 학업 평가 수학 질문/답안지

(답변 및 설명) 2022년 11월 고등학교 1학년 전국공동학사평가.pdf
0.67MB


2. 2022년 11월 고등학교 1급 2수학 전국합동학업평가_Workbook.pdf
0.21MB